Hướng dẫn chi tiết cách tính tiết diện dây dẫn từ nguồn đến đèn LED giúp chống sụt áp, an toàn điện. Khám phá giải pháp bộ nguồn GAC chất lượng, giá tốt từ Tự Động Hóa Toàn Cầu.
Giới thiệu
Trong thi công hệ thống chiếu sáng LED, đặc biệt là các công trình quảng cáo, trang trí nội, ngoại thất hay chiếu sáng công nghiệp, một trong những sai lầm phổ biến nhất mà các kỹ thuật viên thường gặp phải là chọn sai tiết diện dây dẫn. Hệ quả là đèn ở cuối nguồn bị tối, ánh sáng không đều, dây dẫn bị nóng hoặc tệ hơn là sụt áp khiến bộ nguồn hoạt động không ổn định.
Bài viết này, Tự Động Hóa Toàn Cầu sẽ hướng dẫn bạn cách tính tiết diện dây dẫn từ nguồn đến đèn LED một cách chính xác nhất, đồng thời giới thiệu giải pháp nguồn GAC – thương hiệu nguồn chuyển đổi tối ưu chi phí và hiệu suất cho mọi công trình.
Tại sao cần tính toán tiết diện dây dẫn chính xác?
Nhiều người thường chọn dây dẫn theo kinh nghiệm hoặc thói quen (“cứ dây 1.5mm hoặc 2.5mm là đủ”). Tuy nhiên, với dòng điện một chiều sau khi qua bộ nguồn chuyển đổi (ví dụ: nguồn 12V, 24V), việc chọn dây dẫn phức tạp hơn so với điện xoay chiều 220V rất nhiều.
Dưới đây là 3 lý do cốt lõi bạn bắt buộc phải tính toán kỹ:
- Tránh hiện tượng sụt áp: Đây là kẻ thù số 1 của đèn LED. Dòng điện DC điện áp thấp (12V/24V) suy hao rất nhanh trên đường dây dài. Nếu dây quá nhỏ, điện áp tại điểm cuối có thể chỉ còn 9V-10V, làm đèn bị tối hoặc nhấp nháy.
- Đảm bảo an toàn cháy nổ: Dây dẫn có tiết diện không đủ chịu tải sẽ sinh nhiệt lớn. Về lâu dài, lớp vỏ cách điện bị nóng chảy, gây chập cháy, đặc biệt nguy hiểm khi dây đi ngầm hoặc trong trần thạch cao.
- Tối ưu chi phí đầu tư: Chọn dây quá nhỏ gây hỏng hóc, nhưng chọn dây quá to một cách không cần thiết sẽ làm đội chi phí vật tư lên rất cao, đặc biệt với các công trình lớn cần hàng nghìn mét dây.
Các yếu tố kỹ thuật ảnh hưởng đến tiết diện dây
Trước khi đi vào công thức, bạn cần xác định rõ các thông số đầu vào. Một tính toán sai ở bước này sẽ dẫn đến kết quả sai hoàn toàn.
1. Công suất và Cường độ dòng điện (Ampe)
Công suất (P) của tổng hệ thống đèn LED sẽ quyết định cường độ dòng điện (I) chạy qua dây.
Công thức cơ bản:
I = P/U
- P: Tổng công suất đèn (W).
- U: Điện áp nguồn (V).
Ví dụ: Bạn dùng bộ nguồn tổ ong GAC LRS-350-24 (24V – 350W). Nếu tải full 300W, dòng điện sẽ là: 300 / 24 = 12.5A. Đây là một dòng điện rất lớn, đòi hỏi dây dẫn phải to hơn nhiều so với dòng 220V.
2. Chiều dài dây dẫn
Đây là khoảng cách từ đầu ra của bộ nguồn đến tải (đèn LED). Khoảng cách càng xa, điện trở của dây càng lớn, sụt áp càng cao.
3. Chất liệu dây dẫn
Đồng (Cu) và Nhôm (Al) có điện trở suất khác nhau. Trong các công trình chất lượng, Tự Động Hóa Toàn Cầu luôn khuyến nghị khách hàng sử dụng dây đồng nguyên chất để đảm bảo độ dẫn điện tốt nhất (Điện trở suất của đồng (ρ≈0.0172Ω.mm²/m).
Công thức tính tiết diện dây dẫn từ nguồn đến đèn LED
Để tính tiết diện dây dẫn từ nguồn đến đèn LED, chúng ta không chỉ dựa vào khả năng chịu tải (Mật độ dòng diện J) mà quan trọng hơn là phải tính theo độ sụt áp cho phép.
Bước 1: Tính tiết diện theo mật độ dòng điện (J)
Đây là cách tính để dây không bị nóng và cháy.
S = I/J
- S: Tiết diện dây dẫn (mm²).
- I: Cường độ dòng điện (A).
- J: Mật độ dòng điện cho phép (A/mm²).
- Dây đồng: J ≈ 4 – 6 A/mm².
- Dây nhôm: J ≈ 4.5 A/mm².
Tuy nhiên, với điện áp thấp 12V/24V, tính theo công thức này là CHƯA ĐỦ. Dây có thể không cháy, nhưng đèn sẽ tối do sụt áp.
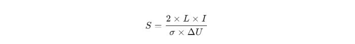
Bước 2: Kiểm tra và tính lại theo độ sụt áp (Quan trọng nhất)
Công thức tính tiết diện dây để đảm bảo điện áp cuối nguồn đủ cấp cho đèn:
Trong đó:
- S: Tiết diện dây cần tìm (mm²).
- L: Khoảng cách từ nguồn đến đèn (m).
- I: Dòng điện tải (A).
- σ: Độ dẫn điện của kim loại (Đồng ≈ 56, Nhôm ≈ 35).
- ΔU: Độ sụt áp chấp nhận được (V). Thông thường cho phép sụt áp khoảng 5% – 10%.
- Với nguồn 12V: ΔU ≈ 0.6V – 1.2V.
- Với nguồn 24V: ΔU ≈ 1.2V – 2.4V.
Ví dụ tính toán thực tế
Để bạn dễ hình dung, chúng tôi sẽ đưa ra 2 bài toán thực tế sử dụng các dòng nguồn GAC phổ biến.
Trường hợp 1: Lắp đặt đèn LED dây trong nhà (Khoảng cách ngắn)
- Thiết bị: Đèn LED dây 24V, tổng công suất 150W.
- Nguồn sử dụng: Bộ nguồn tổ ong GAC LRS-150-24 (24V, 6.25A).
- Khoảng cách: Từ nguồn đến dải đèn xa nhất là 5 mét.
- Tính toán:
- Dòng điện: I = 150W / 24V = 6.25A.
- Sụt áp cho phép: Chọn 0.6V (để đèn sáng đều đẹp).
- Áp dụng công thức sụt áp:
S = (2 x 5 x 6.25) / (56 x 0.6) ≈ 1.86 mm²
Kết luận: Mặc dù theo khả năng chịu tải, dây 1.5mm² là đủ (6.25A / 5), nhưng để tránh sụt áp, bạn nên chọn dây 2.5mm².
Trường hợp 2: Lắp đặt đèn LED quảng cáo ngoài trời (Khoảng cách dài)
- Thiết bị: Biển hiệu LED Module 12V, tổng công suất 300W.
- Nguồn sử dụng: Bộ nguồn chống nước GAC LPV (hoặc HPV) công suất lớn.
- Khoảng cách: Nguồn đặt trong nhà, kéo dây ra biển hiệu cách 15 mét.
- Tính toán:
- Dòng điện: I = 300W / 12V = 25A.
- Sụt áp cho phép: 1V.
- Công thức:
S = (2 x 15 x 25) / (56 x 1) ≈ 13.39 mm²
Kết luận: Bạn thấy đấy, với khoảng cách 15m và dòng 25A, bạn cần dây có tiết diện lên tới 14mm² hoặc 16mm². Nếu bạn chỉ dùng dây 4.0mm² như thói quen, điện áp tại biển hiệu sẽ sụt nghiêm trọng, làm đèn tối và nguồn phải làm việc quá tải để bù áp.
Giải pháp: Trong trường hợp dây quá to và đắt, bạn nên:
- Chuyển sang sử dụng hệ thống LED 24V (Dòng điện giảm một nửa, sụt áp giảm).
- Di chuyển bộ nguồn lại gần tải hơn (Sử dụng nguồn chống nước GAC HPV/LPV để đặt trực tiếp ngoài trời).
Giải pháp nguồn GAC – Tối ưu hiệu suất và an toàn cho hệ thống
Việc tính toán dây dẫn chuẩn chỉ là một nửa chặng đường. Một nửa còn lại quyết định tuổi thọ của hệ thống nằm ở chính bộ chuyển đổi nguồn (Power Supply). Nếu nguồn không ổn định, điện áp đầu ra trôi sụt (ripple & noise cao) thì dù dây dẫn có tốt đến mấy, đèn LED vẫn nhanh hỏng.
Tự Động Hóa Toàn Cầu tự hào giới thiệu dòng sản phẩm nguồn GAC, thương hiệu sản xuất từ tập đoàn Hengwei (nhà sản xuất nguồn uy tín thành lập từ 2005).
Tại sao nguồn GAC là lựa chọn thay thế hoàn hảo cho các thương hiệu đắt đỏ như Meanwell?
1. Chất lượng ổn định – Ngang tầm quốc tế
Nguồn GAC được sản xuất bởi Hengwei trên dây chuyền công nghệ hiện đại với các chứng chỉ ISO-9001, CE, ROHS, TUV. Sản phẩm đảm bảo điện áp đầu ra sạch, độ nhiễu thấp, giúp bảo vệ các chip LED nhạy cảm và kéo dài tuổi thọ thiết bị.
2. Giá thành tối ưu – Tiết kiệm 30-40%
So với các sản phẩm cùng phân khúc chất lượng (như Meanwell), bộ nguồn GAC có mức giá thấp hơn từ 30-40%. Đây là lợi thế cạnh tranh cực lớn cho các đơn vị thi công, giúp giảm chi phí vật tư mà vẫn giữ nguyên chất lượng công trình.
3. Tính năng bảo vệ toàn diện
Tất cả các dòng nguồn GAC do Tự Động Hóa Toàn Cầu phân phối đều được trang bị đầy đủ các tính năng an toàn:
- Bảo vệ quá tải (Overload).
- Bảo vệ quá áp (Overvoltage).
- Bảo vệ ngắn mạch (Short circuit).
- Bảo vệ quá nhiệt (Over temperature).
Những tính năng này cực kỳ quan trọng. Ví dụ, nếu bạn lỡ tính sai tiết diện dây gây chập hoặc quá tải, nguồn GAC sẽ tự ngắt để bảo vệ an toàn cháy nổ, thay vì cố chạy và bốc khói như các loại nguồn trôi nổi.
4. Đa dạng chủng loại cho mọi nhu cầu
Công ty Tự Động Hóa Toàn Cầu cung cấp đầy đủ các mã nguồn GAC phù hợp cho từng ứng dụng cụ thể:
- Nguồn tổ ong GAC LRS Series: Thiết kế siêu mỏng, hiệu suất cao. Phù hợp cho tự động hóa, biển bảng trong nhà. Các model phổ biến: LRS-35-24, LRS-100-24, LRS-350-24
- Nguồn gắn thanh ray GAC NDR/HDR Series: Chuyên dụng cho tủ điện công nghiệp, PLC, HMI. Thiết kế nhỏ gọn, gắn Din-rail tiện lợi. Các model: NDR-120-24, NDR-240-24
- Nguồn chống nước GAC LPV/HPV: Đạt chuẩn chống nước IP67/IP68. Đây là giải pháp hoàn hảo để đặt nguồn ngay cạnh đèn ngoài trời, giảm thiểu chiều dài dây dẫn và sụt áp.
5. Chính sách bảo hành vượt trội
GAC cam kết bảo hành sản phẩm 02 năm, với chính sách đổi mới hoặc sửa chữa nhanh chóng từ Tự Động Hóa Toàn Cầu. Đội ngũ kỹ thuật của chúng tôi hỗ trợ 24/7 để đảm bảo hệ thống của bạn luôn vận hành thông suốt.
Kết luận
Việc tính tiết diện dây dẫn từ nguồn đến đèn LED là bước không thể bỏ qua để đảm bảo chất lượng ánh sáng và an toàn điện. Hãy luôn nhớ công thức tính sụt áp và ưu tiên sử dụng dây dẫn đủ tiêu chuẩn.
Bên cạnh đó, việc lựa chọn một bộ nguồn chất lượng như GAC sẽ giúp hệ thống của bạn hoạt động bền bỉ, ổn định với chi phí đầu tư hợp lý nhất.
Bạn đang cần tư vấn chọn mã nguồn GAC phù hợp hoặc hỗ trợ tính toán kỹ thuật cho công trình?
Hãy liên hệ ngay với Tự Động Hóa Toàn Cầu để được đội ngũ kỹ sư của chúng tôi hỗ trợ miễn phí và nhận báo giá tốt nhất thị trường.
CÔNG TY TNHH TỰ ĐỘNG HÓA TOÀN CẦU
- Website: tudonghoatoancau.com
- Sản phẩm: PLC, Biến tần, HMI, Servo, Hộp số, Nguồn GAC, Động cơ bước.
- Hotline Zalo: 0981.885.870





Zalo Miền Bắc